進水塔施工闡述
進水塔施工期的ANSYS仿真分析,可得出混凝土施工期溫度場及溫度應力變化的規律:
(1)施工期混凝土早期溫度上升很快。最大溫升一般出現在其澆筑后的第3-4d,為29.934℃。其后濕度逐漸下降,到30d時,基本達到室溫.
(2)施工期混凝土溫度應力隨著溫差的增大而增大,各測點最大溫度應力出現時刻與最大溫差時刻基本一致.最大溫度應力為1.68MPa。出現在新老澆筑層接觸面。由澆筑時產生的瞬時溫差引起.
(3)施工期最大溫度應力沒有超過混凝土極限拉應力,說明施工過程中采用的養護措施是合理有效的.同時。在施工過程中要格外注意新老接觸面的溫度應力問題,尤其是在新老混凝土層間歇較長時間時,應該對老混凝土層進行相應處理.
太體積混凝土己在土木水利工程中得到廣泛應用,其溫控和防裂問題是設計及施工時需要解決的重要問題。對于重要工程中的大體積混凝土。除需用規范方法進行計算外,通常還需用有限元法進行校核.
河南省燕山水庫位于淮河支流沙潁河主要支流澧河上游干江河上。是淮河流域的防洪骨干工程之一,在河南省“2001-2010年水利發展規劃”中被確定為重點工程.燕山水庫進水塔進水高程89m,結構型式為邊長6m正四邊形有壓洞,塔頂高程12lm,塔高34.5m.進水口底板長25m,寬10.6m。厚2.5m.進水塔施工期溫度分析涉及溫度場計算和徐變應力計算兩個方面。計算時需處理一系列問題,包括分層澆筑和動態邊界模擬,水化熱的模擬,動態彈模、混凝土自生體積變形及徐變應力的計算等,應用ANSYS軟件,通過二次開發來模擬進水塔施工期復雜的施工過程,得出了其溫度場和溫度應力變化規律。對下一階段施工具有重要的指導意義.
1、進水塔施工期溫度場分析
1.1進水塔施工期計算模擬方案
文章根據進水塔施工方案進行仿真計算,具體計算模擬方案見表1.

1.2進水塔建模
由于該文研究的進水塔內部結構較為復雜的模型,直接在ANSYS中建模十分困難.因此筆者首先用機械三維CAD軟件SolidWorks建模,然后利用ANSYS接口工具導入ANSYS中進行分析‘.模型如圖1所示.

1.3溫度場求解原理
1.3.1瞬態熱傳導方程
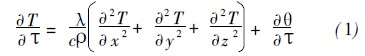
溫度場計算。是基于三維瞬態熱傳導方程

式中,入為導熱系數(kJ·m-1·h-1·℃-1);c為比熱容(kJ·kg-1.℃-1);p為容重(蠔.m-3);T為時間(h);θ為混凝土的絕熱溫升(℃).
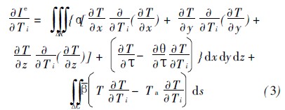
根據熱傳導方程及變分原理,三維非穩定溫度場問題的有限元求解可取如下泛函I(T)

式中,△R為單元e所包含的子域;丁為溫度;T為混凝土齡期;△C為在表面C上的面積,只會出現在邊界單元;β為放熱系數;Ta為外界氣溫.由式(2)在積分號內求微分。得到

根據泛函實現極值的條件,有
![]()
在每個節點由,都建有一個式(3)確定的方程,聯立求解這個方程組。即可求出所有節點的溫度.
1.3.2初始條件及邊界條件
初始條件為在物體內部初始瞬間溫度場的分布規律,計算選取混凝土澆筑溫度恒定為10℃.
水泥水化熱采用指數公式
Q(t)=71610×[1-exp(-0.36×day)]
邊界條件包括周圍介質與混凝土表面相互作用的規律及物體的幾何形狀,共包含3類,當混凝土與空氣接觸時,表面熱流量與混凝土表面溫度丁和氣溫丁。之差成正比。即

式中,β為放熱系數,kj/(m2·h·℃).
施工中每層混凝土澆筑后側面不拆模,上表面采用稻草麥稈鋪蓋。并定時散水養護.當考慮混凝土外表面用鋼模板及稻草麥稈鋪蓋時以放熱系數折減等效處理。見表2.

根據當地施工期氣溫變化擬合出溫度變化曲線,

1.4進水塔施工期溫度場ANSYS分析結果
為更好的說明施工期進水塔混凝土溫度變化情況,在底板以上豎井部分,每一澆筑層各選取1個特征點,繪出其溫度變化情況,特征點坐標歿最高溫度見表3.

施工期最高溫度等值線圖和特征點溫度變化及氣溫變化曲線如圖2-3所示,

進水塔施丁期最高溫度等值線網
由圖2知:進水塔施工期最高溫度29.934℃,發生在總澆筑期的第206d。即最頂層澆筑后的第4d.由圖3知,進水塔豎井部分每層混凝土均在其澆筑初期3-4d即達到最大溫度,其后溫度逐漸降低,逐漸接近氣溫變化,特征點8,坐標(5,34.5,16.632),為澆筑計算期溫度最高的點。溫度達到29.934℃.特征點4,坐標(5,16.04,8.632),為溫差最大的點,最大溫差23.534℃.
2、進水塔施工期溫度應力分析
結構在加熱或者冷卻時。會發生膨脹或收縮.如果結構中各部分由于約束的作用導致膨脹與收縮不一樣,就會產生溫度應力.
2.1計算參數選取
混凝土相關參數見表4.

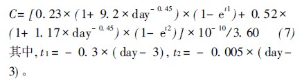
考慮進水塔混凝土的水泥品種、骨料品種、水灰比、外加劑、粉煤灰等因素,對混凝土徐變效應,采用了以下徐變度公式

當tl<-80時,取tl=-80,當t2<-80Ht,取t2=-80,不考慮混凝土徐變效應模量公式

考慮混凝土的徐變的影響,采用等效的混凝土彈性模量公式:E=Ei/(1+Ei×C).
2.2進水塔施工期溫度應力ANSYS分析結果
同樣在底板以上豎井部分,每一澆筑層各選取1個特征點,特征點編號與坐標同溫度場,觀察其溫度應力變化情況,特征點坐標及最大溫度應力如表5所示,其中特征點1為最大溫度應力點,坐標(8,10.8,7.632).

施工期最高溫度應力等值線圖和特征點溫度應力變化及混凝土極限拉應力變化曲線如圖4-5所示。

圖5中,混凝土極限拉應力計算采用以下公式

由圖4知:進水塔施工期最大拉應力為1.68MPa發生在總澆筑期的第90d,即第3層混凝土澆筑養護結束,第4層混凝土剛剛開始澆筑時.由圖5可知,進水塔在施工期,特征點1(曲線S1_9)溫度應力最大,達到1.68MPa,發生在本澆筑層澆筑后的第40df總施工期的第90d).從坐標上看,它處于進水塔混凝土第3層和第4層接觸面,最大溫度應力產生于第3層混凝土澆筑養護完畢,第4層混凝土開始澆筑時.因此可以判斷。特征點1的最大溫度應力是由于上層混凝土澆筑時上下兩層混凝土瞬時溫差產生,在圖5中,S1—10曲線表示混凝土極限拉應力隨齡期的變化曲線,由圖比較可知,進水塔施工期特征點溫度應力均小于混凝土極限拉應力.因此可知。進水塔在施工期不會出現溫度裂縫.
掃一掃咨詢微信客服