簡述:
1)有風載荷作用時,立柱頂端最大偏移量δw=720mm,大約為立柱高度矗的1.41%;
2)無風載荷作用時,立柱頂端最大偏移量δc=472mm,大約為立柱高度矗的0.92%;
3)立柱頂端偏移量艿。與力矩嵫呈線性正比關系;隨著力矩的增大,偏移量也隨之增大;
4)立柱頂端偏移量艿。與軸向力Q呈非線性關系;隨著軸向力的增大,偏移量也隨之增大。
為保證液壓頂升平橋平穩工作,建議采取附著技術,方可保證安全施工。
1、引言
液壓頂升平橋…廣泛用于冷卻塔施工,最低高度達50多m:液壓頂升平橋的立柱(或塔身)是關鍵的結構件,其撓度既影響整機強度,又影響其穩定性。立柱在不平衡的自重、活動荷重、風載荷與動載荷作用下會彎曲,產生更大的變形,使彎矩增大。因此如何正確計算液壓頂升平橋頂部的最大變形位移,是保證安全施工的重要因素,也是采取有關措施的依據。
2、梁一柱的撓度曲線
2.1有風載荷時梁一柱的撓度曲線
立柱的彈性變形是白于載荷偏心造成的。如在有風狀態下,繞起重機中心線的凈力矩Me,軸向力Q;風載荷:認為回轉部以上受風面積的風力W為集中力并作用在回轉部,高出冷卻塔部分的立柱風載荷為w,高出冷卻塔部分(與坐標原點距離,可視為定值)的長度為x1。液壓頂升平橋的彈性變形計算模型如圖1所示。

假設條件:①平橋2、塔機3及基礎5均視為剛性體;②立柱1視為彈性體并為等截面。
立柱的力學表現類似懸臂梁,屬于梁一柱構件。根據彈性穩定原理,其基本表達式為:

頂端的力矩為:
故撓度曲線為:
令k2=Q/E1,計算得

相對于基座,即立柱固定端的最大偏移量z(h)=δw。,則

2.2無風載荷時梁一柱的撓度曲線
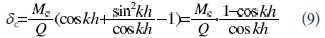
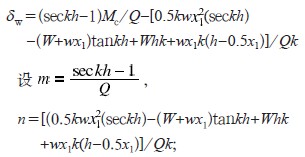
如在無風狀態下,繞起重機中心線的凈力矩Mc,軸向力Q。頂端的力矩為

故撓度曲線為

仍令k2=Q/EI,得梁一柱構件任意一點的彈性偏移量計算式為

相對于基座,即立柱固定端的最大偏移量z(h)=δc。,則

2.3實例計算
YDQ型25.6tm液壓頂升平橋工作時,其載荷為頂端不平衡力矩Mc=789.55kNm,承受軸向力Q=172.64kN,橋身均布風載荷為w=0.3696kN/m,水平風力W=12.62kN;平橋的高度h=51.15m,平橋頂端距冷卻塔頂部的距離x1=14.15m;彈性模量E=200GPa,立柱慣性矩/=1.33×10-2IT14,水平靜位移AL≤1.34h/100,求其頂端的偏移量。
中間參量計算得:k=8.1×10-3m-1,sinkh=0.4026.coskh=0.9154.tankh=0.4398.
1)育風條件下頂部的最大偏移量aw若在有風條件下,將已知參數和上述計算結果代人方程(5)中,可求得頂部的最大偏移量aw-0.7194m>[A/]=1.34h/100=0.6905m.
2)無風條件下頂部的最大偏移量δc。若在無風條件下,將已知參數和相關計算結果代入方程(9)中,可求得最大偏移量δc=0.4718m。
由上述計算可以得出:有風載荷作用時,立柱頂端最大偏移量δw。大約為立柱高度h的1.41%;無風載荷作用時,立柱頂端最大偏移量δc。大約為立柱高度h的0.92%。
3)有風條件下最大偏移量δw與Mc的關系由式(5)可知

如k、h、Q、w、X1均為常量,則m、n為常量;δw=mMc+n。
由此可見,δw與Mc呈線性正比關系,如圖2a所示。
4)有風條件下最大偏移量δw與Q昀關系由式(5)可知

從上式可以得出:δw與Q為非線性關系,如圖2(b)所示。

掃一掃咨詢微信客服